快速通道
游戏资料
玩家互动
截图视频
游戏资料导航

职业介绍
职业特性介绍 | 职业装备需求 | 战士介绍 | 法师介绍 | 侦察者介绍 | 祭祀介绍 | 守护星 | 剑星 | 魔道星 | 精灵星 | 杀星 | 弓星 | 治愈星 | 护法星
技能介绍
战斗技能综述 | 战士技能 | 法师技能 | 侦察者技能 | 祭祀技能 | 守护星技能 | 剑星技能 | 魔道星技能 | 精灵星技能 | 杀星技能 | 弓星技能 | 治愈星技能 | 护法星技能 | 连续技 | (圣痕/烙印)技能
地图速查
天族首都 | 普埃塔 | 贝尔特伦 | 埃尔特内 | 泰奥勃莫斯 | 因特尔蒂卡
魔界首都 | 伊斯夏尔肯 | 阿尔特盖德 | 莫尔海姆 | 布鲁斯特豪宁 | 贝鲁斯兰
深渊(上层) | 深渊(下层) | 深渊(深层) | 深渊传送点示意图
BOSS图鉴与分布、掉落图
魔族BOSS | 天族BOSS | 深渊BOSS
怪物图鉴与分布图
怪物分布、图鉴 | 深渊上层 | 深渊下层)
天族怪物分布 | 普埃塔 | 贝尔特伦 | 埃尔特内 | 泰奥勃莫斯 | 因特尔蒂卡
魔族怪分布 | 伊斯夏尔肯 | 阿尔特盖德 | 莫尔海姆 | 布鲁斯特豪宁 | 贝鲁斯兰
采集点分布图
采集专题(含所有物品采集点)
天族采集点:普埃塔 | 贝尔特伦
魔界采集点:伊斯夏尔肯 | 阿尔特盖德
装备详解
装备等级分类 | 武器详解 | 防具详解 | 饰品详解 | 装备强化的方法 | 强化石说明 | 魔石详细说明 | 神石详细说明 | 装备刻印(绑定)| 装备外形变换的方法 | 可伸缩武器说明 | 可伸缩武器出处整理 | 强化石与魔石种类详细介绍 | 神石强化补遗与种类详细介绍
装备图鉴
2装备图鉴总表 | 隐藏属性套装资料
25级史诗武器 | 值价1200万的翅膀
25级史诗装备-魔族 | 25级史诗装备-天族
橙色武器大全-1 | 橙色武器大全-2
魔族Abyss(深渊)武器(LV30-LV50)
天族Abyss(深渊)武器(LV30-LV50)
天族套裝防具图鉴(LV22~LV50)
魔族套裝防具图鉴(LV22~LV50)
四神套装出处与图鉴(LV47)
奈落套装出处与图鉴(LV47)
任务大全
1-10级天族普通 | 1-10级魔族普通
1-10级天族使命 | 1-10级魔族使命
11-20级天族普通 | 11-20级魔族普通
21-30级天族使命 | 21-30级魔族使命
天族称号任务整理 | 魔族称号任务整理
天族必做任务整理 | 魔族必做任务整理
深渊战场
深渊系统简介 | 天族深渊入场任务攻略 | 魔族深渊入场任务攻略 | 深渊要塞战规则 | 深渊功勋系统介绍 | 深渊点数购买系统介绍 | 深渊要塞战详解 | 深渊古代神器分布及技能效果说明 | 深渊战场武器属性效果图 | 深渊战场25~45级升级攻略
游戏简介
游戏介绍 | 世界观 | 游戏特色 | 配置要求 | 天族故事 | 魔族故事
新手指导
游戏安装 | 登入游戏 | 角色创建 | 游戏界面 | 操作说明 | 连续技介绍 | DP值介绍 | 烙印技能简介 | 互动功能简介 | 村庄功能
种族介绍
天族 | 魔族 | 龙族 | Krall族 | Lycan族 | Shugo族 | NAGA族 | 十二主神
游戏系统
背包系统 | 仓库系统 | 经济系统 | 死亡系统 | 狩猎系统 | 制作/采集系统 | 组队系统 | 任务系统 | 传送系统 | 称号系统 | 变身系统 | 染色系统 | 时空裂缝系统 | 深渊战场 | 公会系统 | 道具系统(等级/强化/镶嵌/外形) | 飞行系统 | 副本介绍 | 宏定义系统
生活技能

生活技能综述 | 布/皮衣制作 | 炼金术 | 料理 | 金属盔甲制作 | 武器制作 | 细工 | 物质变换 | 采集/OD采集
公会详解
盛大出品的公会说明 | 公会简介 | 创建/解散公会 | 公会的成长 | 公会功能介绍 | 公会纹章 | 公会环境设定 | 加入/退出公会 | 公员等级与权限

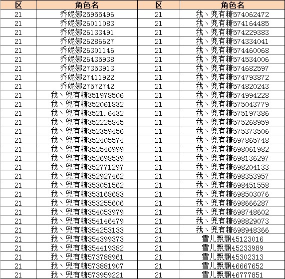
今日官方严惩 永久封停208名外挂角色

时间:2013-01-30 00:00 作者:官网公告 手机订阅 神评论

新闻导语

尊敬的永恒之塔玩家:永恒之塔全区全服启用SNDC校验,维护游戏公平环境,我们一直在努力且从未止步。在此,我们严正申明,一旦监控到有玩家修改文件(包括但不限于以下文件:角色移动范围异常、角色技能加速、角色移动加速、实现控制台功能、修改角色动作文件、修改角色外貌文件、修改角色服饰文件

今日官方严惩 永久封停208名外挂角色

相关阅读:官网公告